Präzise und hochdynamische Leistungserfassung
Die Bewertung und Prüfung von elektrischen Antrieben sowie der dazugehörigen Regelungsstrategien in Industrie- als auch Elektromobilitätsanwendungen bedarf einer präzisen und hochdynamischen Leistungserfassung. In diesen Anwendungsgebieten besteht das elektrische System standardmäßig aus einem Zweipunktwechselrichter, einer dreiphasigen elektrischen Maschine und der dazugehörigen Energieversorgung.
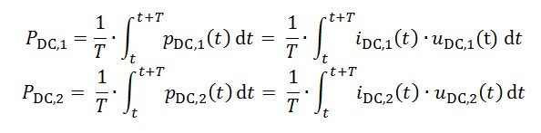
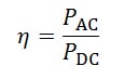
In diesem Beitrag wird zunächst die weiterführende Topologie des Doppelzweipunktwechselrichters (DZW) vorgestellt. Anschließend wird die messtechnische Erfassung der mechanischen und elektrischen Größen mit dem Messdatenerfassungssystem GEN3i sowie die Berechnung der Echtzeit-Leistungsgrößen dargestellt.
















